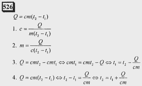
Q Cm T2 T1

Explanation Of States Of Matter Problems Wyzant Resources

Explanation Of States Of Matter Problems Wyzant Resources

Explanation Of States Of Matter Problems Wyzant Resources

Explanation Of States Of Matter Problems Wyzant Resources

Explanation Of States Of Matter Problems Wyzant Resources

Explanation Of States Of Matter Problems Wyzant Resources

Explanation Of States Of Matter Problems Wyzant Resources

Explanation Of States Of Matter Problems Wyzant Resources

Explanation Of States Of Matter Problems Wyzant Resources

Explanation Of States Of Matter Problems Wyzant Resources

Explanation Of States Of Matter Problems Wyzant Resources

Explanation Of States Of Matter Problems Wyzant Resources

Explanation Of States Of Matter Problems Wyzant Resources

25 3 Heat And Thermal Energy Ppt Video Online Download

25 3 Heat And Thermal Energy Ppt Video Online Download

Q M Cp Dt The Intersection Of Energy And Machine Learning

Q M Cp Dt The Intersection Of Energy And Machine Learning

Kolichestvo Teploty Q Neobhodimoe Dlya Nagrevaniya Fizicheskogo Tela Mozhno Vychislit Po Formule Q Cm T2 T1 Gde S Udelnaya Teploemkost Veshestva Univer Soloby

Kolichestvo Teploty Q Neobhodimoe Dlya Nagrevaniya Fizicheskogo Tela Mozhno Vychislit Po Formule Q Cm T2 T1 Gde S Udelnaya Teploemkost Veshestva Univer Soloby

Reshenie Zadach Po Teme Kolichestvo Teploty Prezentaciya Onlajn

Reshenie Zadach Po Teme Kolichestvo Teploty Prezentaciya Onlajn

Resh E Zadachi Na Q Sgor I Nagrev

Resh E Zadachi Na Q Sgor I Nagrev

Otvety Mail Ru Pomogite Kuda Primenyat Eti Formuly Mozg Kipit V Smuzi

Otvety Mail Ru Pomogite Kuda Primenyat Eti Formuly Mozg Kipit V Smuzi

Heat Energy And Transfer Specific Heat Capacity Hvac Machinery

Heat Energy And Transfer Specific Heat Capacity Hvac Machinery

Unit 3 Thermochemistry Ppt Video Online Download

Unit 3 Thermochemistry Ppt Video Online Download

Otvety Mail Ru Obyasnite Po Teme Udelnaya Teploemkost

Otvety Mail Ru Obyasnite Po Teme Udelnaya Teploemkost

Heat Energy And Transfer Specific Heat Capacity Hvac Machinery

Heat Energy And Transfer Specific Heat Capacity Hvac Machinery

Solved Heat Conduction Occurs Through Any Material Repre Chegg Com

Solved Heat Conduction Occurs Through Any Material Repre Chegg Com

Solved Heat Conduction Occurs Through Any Material Repre Chegg Com

Solved Heat Conduction Occurs Through Any Material Repre Chegg Com

Solved Please Pay Attention To What Is Needed T2 And T1 A Chegg Com

Solved Please Pay Attention To What Is Needed T2 And T1 A Chegg Com

Fizika

Fizika